Estau a

Observatori de rendiciķ

Compliment dels terminis legals de tramitaciķ del pressupost i del Compte General.

  Exercici 2023 Exercici 2024
Tipus d`Entitat Local Pressupost aprovat abans del 31/12/2022 Liquidaciķ del pressupost aprovada abans del 31/03/2024 Compte General aprovat abans del 01/10/2024 Compte General retut abans del 15/10/2024 Pressupost aprovat abans del 31/12/2023 Liquidaciķ del pressupost aprovada abans del 31/03/2025 Compte General aprovat abans del 01/10/2025 Compte General retut abans del 15/10/2025
Ajuntament 30.30 % 65.21 % 69.03 % 61.77 % 30.45 % 73.00 % 82.77 % 60.93 %
Diputaciķ Provincial 61.11 % 88.89 % 77.78 % 76.32 % 59.38 % 90.32 % 96.88 % 81.58 %
Cabildos i Consells Insulars 10.00 % 90.00 % 30.00 % 30.00 % 100.00 % 100.00 % 100.00 % 30.00 %
Comarca 33.78 % 60.56 % 82.43 % 75.00 % 36.51 % 68.85 % 80.95 % 69.74 %
Mancomunitat 29.55 % 71.99 % 60.39 % 39.95 % 32.01 % 81.96 % 78.19 % 39.88 %
Ārea metropolitana 66.67 % 100.00 % 66.67 % 66.67 % 50.00 % 100.00 % 100.00 % 66.67 %
Grāfic del compliment del termini legal de la rendiciķ de l'exercici 2023
Llegenda del grāfic
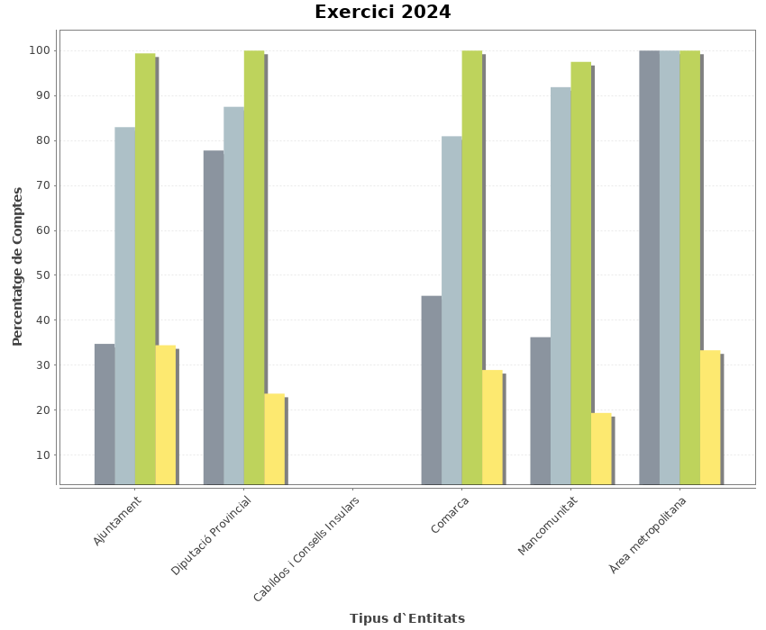
Grāfic del compliment del termini legal de la rendiciķ de l'exercici 2024
Llegenda del grāfic

Copyright 2023 rendiciondecuentas.es - All Rights Reserved.